INDUKSI ELEKTROMAGNETIK
FLUKS MAGNETIK
Fluks
magnetik menyatakan banyaknya jumlah garis gaya yang menembus permukaan bidang
secara tegak lurus
Φ = Fluks Magnetik (Wb)
B = Induksi
Magnetik (T)
A = Luas
Permukaan
GGL INDUKSI
ε = GGL
Induksi (Volt)
B =
Induksi Magnetik (Tesla)
l =
Panjang Kawat Penghantar (m)
v =
Kecepatan (m/s)
Jika kawat
PQ panjangnya 50 cm digerakkan ke kanan dengan kecepatan 10 m/s. Hambatan R =5
Ω : dan induksi magnet sebesar 0,4 T, Tentukan:
a.
Besarnya
ggl induksi yang timbul
b.
Besar
dan arah kuat arus yang mengalir
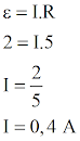
Jawaban :
a. Besarnya ggl induksi yang timbul
b. Besar dan arah kuat arus yang mengalir
TRANSFORMATOR
Transformator
berfungsi untuk menaikkan atau menurunkan tegangan listrik.
Vp =
Tegangan Primer (Volt)
Vs =
Tegangan Sekunder (Volt)
Np =
Jumlah Lilitan Primer
Ns =
Jumlah Lilitan Sekunder
Ip = Kuat
Arus Primer (Ampere)
Is = Kuat
Arus Sekunder (Ampere)
Efisiensi Transformator
η
= Efisiensi (%)
Ps = Daya
Sekunder (Watt)
Pp = Daya
Primer (Watt)
Contoh Soal :
Sebuah transformator memiliki perbandingan antara lilitan primer dan sekunder 15 : 2. Jika dihubungkan dengan sumber tegangan AC sebesar 300 volt. Hitunglah tegangan pada kumparan sekunder !
Jawaban :
RANGKAIAN ARUS BOLAK - BALIK












Comments
Post a Comment