MEDAN MAGNETIK
Medan magnetik adalah ruang di sekeliling suatu magnet yang dipengaruhi atau mengalami gaya magnetik.
INDUKSI MAGNET KAWAT LURUS PANJANG BERARUS
B = induksi magnetik
di titik P (Tesla)
μo = permeabilitas
ruang hampa (4π ×10-7 Wb A-1m-1)
I  = kuat arus yang mengalir dalam kawat (A)
a  = jarak titik P ke kawat penghantar (m)
INDUKSI MAGNET KAWAT MELINGKAR BERARUS
B = induksi magnetik di titik P (Tesla)
μo = permeabilitas ruang hampa (4π ×10-7 Wb A-1m-1)
I  = kuat arus yang mengalir dalam kawat (A)
a = jarak titik P ke kawat penghantar (m)
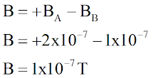
Contoh Soal :
Tentukan besar dan arah induksi magnet di titik P ! (μo = 4π ×10-7 Wb A-1m-1)
N         = jumlah lilitan
L = panjang solenoida (m)
Toroida adalah sebuah solenoida yang dileng-kungkan sehingga mem-bentuk lingkaran.
Besarnya induksi magnetik di pusat sumbu toroida :
F  = Gaya Lorentz (Newton)
B  = Induksi Magnetik (Tesla)
I   = Kuat Arus Listrik (Ampere)
l   = Panjang Kawat (m)
GAYA LORENTZ KAWAT SEJAJAR BERARUS LISTRIK
F  = Gaya Lorentz (Newton)
B = Induksi Magnetik
(Tesla)
v = Kecepatan (m/s)
q = Muatan Listrik
(Couloumb)
Diketahui :
I = 10 A
B = 0,5 T
l = 20 cm = 0,2 m
θ = 90o

















Comments
Post a Comment